콘텐츠로 건너뛰기
Breadcrumbs 로 건너뛰기
헤더 메뉴로 건너뛰기
액션 메뉴로 건너뛰기
빠른 검색으로 건너뛰기
연결된 어플리케이션
불러오는 중...
공간
빠른 검색
도움말
온라인 도움말
키보드 단축키
RSS 피드 빌더
새 소식
사용 가능한 가젯
컨플루언스에 관하여
로그인
연구 개발 매뉴얼
공간 바로가기
아카데미
페이지 트리
페이지 찾기
구성
공간 도구
페이지 보기
첨부 파일(
t
) (1)
페이지 이력
페이지 정보
계층구조로 보기
소스 보기
PDF로 내보내기
Word로 내보내기
Export to PDF
페이지
…
연구 개발 매뉴얼 홈
신규/변경 가이드
AUD플랫폼
3. i-AUD
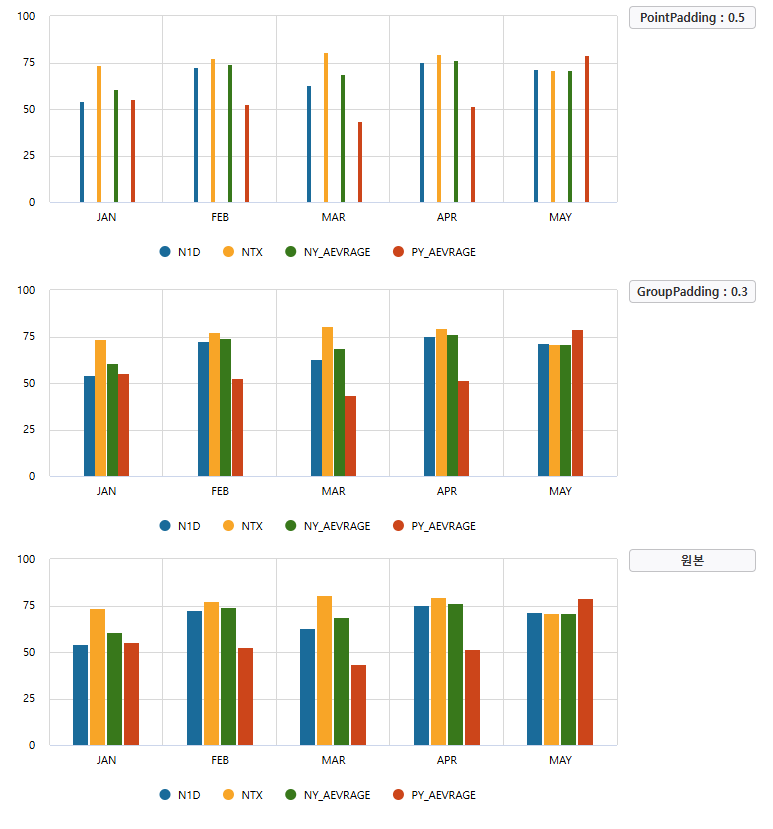
[i-AUD] 차트 계열의 간격을 조절할 수 있는 기능이 추가되었습니다.
첨부 파일
이름
크기
만든이
생성일
레이블
댓글
PNG 파일
image2026-1-15_10-57-20.png
24 kB
AUD팀
2026-01-15 10:57
레이블 없음
버전 1 (현재)
24 kB
AUD팀
2026-01-15 10:57
개요
내용 도구
{"serverDuration": 72, "requestCorrelationId": "84e6bb04e73acec9"}